本地上门卖身电话100元有电话吗? ,美团妹子怎么联系 ,本地上门卖身电话100元有电话吗?,同城约会微信群全国600城市空降高端私人配对

激光打标卡的脚踏开关如何接?

浪起激光2018-05-11244557

一、激光打标卡的脚踏开关如何接?

一般激光打标的输入口有两种内部结构:

1、内部自带电源的输入口。

这种输入口和激光打标卡是公用电源的,适合连接无源开关??サ?。也就是直接接开关即可,如图:

左边是脚踏开关,这种端口虽然连接了光耦,其实本质上并没有隔离。因为开关使用的电源和激光打标卡时公用的。当脚踏开关闭合,光耦的发光二极管亮,信号也就传到了激光打标卡内部。

激光打标卡的脚踏开关如何接?  第1张


2、不带电源的光耦隔离输入口。

如图,这种输入口,内部是不带电源的。需要我们外接电源。有人会问,为什么要设计这种输入口?全部自带电源岂不是更方便?这是因为开关触点毕竟没有光电感应类的开关响应速度快,这种端口更适合接光电开关。而光电开光一般的工作电压都是24V。而激光打标卡时用的5V电源,所以需要用光耦隔离,同时还要限流。输入端口的光耦的输入端引脚引出来,根据客户实际情况,灵活选用。

激光打标卡的脚踏开关如何接?  第2张


激光打标卡的脚踏开关如何接?  第3张


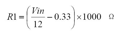
如图,我们可以看到光耦的内部输入端串接有330欧姆的限流电阻。这只适合于当外接电源电压是5V时可以安全使用。当外部电源 Vin 实际的电压值决定是否外接电阻 R1,以确保输入电流在 10mA—— 15mA 之间。如果输入电压大于 5V 时,建议在激光打标卡外串接限流电阻 R1。假设选择输入电流为 12mA,则输入电阻 R1 的计算方法如下:

激光打标卡的脚踏开关如何接?  第4张


所以,当我们连接一般的脚踏开关时,采用内部自带电源的输入口连接即可,这样很方便。例如,我们接到IN0,也就是将脚踏开关接到BD15的1脚和12脚之间。当脚踏开关闭合,光耦亮,脚踏信号进到卡里面。

激光打标卡的脚踏开关如何接?  第5张




当我们使用飞行打标时,需要产品经过光电传感器时,将来料信号立刻给激光打标系统,这种情况下接机械式的脚踏开关是 不能满足快速响应要求的。这就需要将光电传感器连接不带电源的光耦隔离输入口。

二、激光打标机软件里面如何设置脚踏开关?

当我们接好了脚踏开关线,就需要在激光打标软件里面设置:如图:

激光打标卡的脚踏开关如何接?  第6张


在端口里面的开始标刻端口设置好IN0端口??夹藕怕龀迥J?是指 每次踩下脚踏开关 打标一次。如果不释放开关,不会连续打标。需要勾选。电平设置HIGH高电平,因为我们是接的5V电源,5V电源通了 才激光打标。如果选择低电平,会导致没有踩下脚踏开关也会一直打标。


本文链接:http://www.j09t.cn/news/801.html 转载需授权!

  • 使用激光除锈机时需要注意哪些安全问题?

    使用激光除锈机时需要注意哪些安全问题?

    使用激光除锈机,安全绝对是头等大事,我来帮你梳理关键点,让你操作时心里有底:一、核心安全原则?眼睛?;?:激光绝对不能照射人的眼睛,操作时必须佩戴?专用激光防护眼镜?,匹配设备波长(如CO?激光需10...

    操作指南2026-01-17
  • 最有效解决激光打标机Lmc硬件版本错误及Lmc驱动程序启动失败

    最有效解决激光打标机Lmc硬件版本错误及Lmc驱动程序启动失败

    使用JCZ打标机软件时,您经?;嵊龅秸饬礁鎏崾?,Lmc硬件版本错误及Lmc驱动程序加载失败我们已找到最新方案,且效果极佳。更换USB数据线。2.机器接地。3.检查卡片是否损坏。若上述三种方法仍无法...

    操作指南2025-12-31
  • 激光除锈机镜片使用维护指南

    激光除锈机镜片使用维护指南

    激光除锈设备中的机枪头镜片是核心光学元件,其清洁度和完好性直接影响激光传输效率和工作效果。以下是使用和维护时的关键注意事项:1.日常操作注意事项防尘防污:工作前确?;肪城褰?,避免粉尘、油污飞溅到镜片...

    操作指南2025-08-12
  • 睿法系统显示振镜报警

    睿法系统显示振镜报警

    睿法系统显示振镜报警原因:1.15V开关电源没有跟24V开关电源同时通电。2.接到控制盒这边的±15V电源接反了3.15V开关电源烧坏。4.枪头上的9针插头没有接好或者这根信号线中间断路。5....

    操作指南2025-08-11
  • 睿法枪头屏幕显示温度XXX或者显示的数值很大

    睿法枪头屏幕显示温度XXX或者显示的数值很大

    睿法枪头屏幕显示温度XXX或者显示的数值很大原因:1.受到氩弧焊信号干扰。2.系统故障。3.温度监控板烧掉。4.屏幕信号线和温控信号线接线的时候两个对换接错过。5.控制盒或者温控板信号线接触...

    操作指南2025-08-11
  • 金橙子软件工作时提示内存不足的解决办法

    金橙子软件工作时提示内存不足的解决办法

    金橙子软件工作时提示内存不足的解决办法:很多用户在使用机器过程中遇到过,下面图片是解决金橙子软件提示内存不足的解决办法只需要修改源文件里面的一个数值就可以了...

    操作指南2025-02-11
  • 直径符号怎么打出来激光打标机软件里

    直径符号怎么打出来激光打标机软件里

    激光打标机金橙子软件里面怎么样去打出直径的符号“?”?解决办法:1、百度搜索,在结果里面会出来这个符号,复制就可以了2、找到本篇文章,负责就可以了3、使用快捷键,左手按住ALT键。右手在数字键上面打出...

    操作指南2022-05-31
  • 激光打标机怎么设置打标内容的顺序

    激光打标机怎么设置打标内容的顺序

    #金橙子激光打标机怎么设置打标内容的顺序?比如激光打标机控制金橙子软件里面有多个文本内容,怎么样才能按照我们想做的顺序来打标。下面我们来看一下:比如我添加了上图三个文本内容,在软件左侧对象列表里选中内容后双击...

    操作指南2022-05-28
  • 复工秘籍:节后激光器复工指南

    复工秘籍:节后激光器复工指南

    节假日激光设备停机时间普遍较长,为助您快速顺利复工,我们精心准备了一份激光器复工指南,只需正确解锁,就能高效生产,助您开工大吉!温馨提示:如果集成商有更详细的指导说明,此复工秘籍可作为参考文件,酌情解...

    操作指南2022-05-16
  • 怎样使红光指示与实际标刻图形完全重合

    怎样使红光指示与实际标刻图形完全重合

    尊敬的客户,您好!此问题可调整红光偏移位置、比例大小等参数,具体操作:修改“参数”工具栏----“其它”---- “红光指示”栏下参数值;勾选“使能选择轮廓”,红光会显示图形的轨迹,否则,红...

    操作指南2022-05-16

猜你还喜欢这些...